羰基构建与转化是羰基化学的主要研究内容,一氧化碳(CO)、二氧化碳(CO2)、生物质和烃类化合物通过催化转化的方法都可实现羰基的构建。过渡金属催化的CO羰基化反应是构建醛、醇、酸、酯、酰胺等含羰分子的一种有效手段,其中卤代芳烃和胺/醇的羰基化反应是合成酰胺/酯类化合物的重要方法。目前,该类反应的催化体系主要集中在贵金属催化剂,而非贵金属多相催化体系鲜有报道。
中国科学院兰州化学物理研究所羰基合成与选择氧化国家重点实验室均多相融合催化课题组长期致力于多相羰基化反应研究(Green Chem., 2018, 20, 3457; Chin. J. Chem., 2019, 37, 139; Green Chem., 2019, 21, 4040; Adv. Synth. Catal., 2020, 362, 2348;J. Catal., 2021, 401, 321; Chem. Commun., 2022, 58, 8093)。
近期,该课题组基于“组合位点催化”的理念,在Fe2O3上通过构建一个氧空位(Fe2O3-Ovac),一步获得了三个具有不同配位环境和电荷分布的Fe位点,三个位点分别催化卤化芳烃和胺羰基化反应中的不同基元步骤,即碘苯活化(Fe1和Fe3位点)、CO插入(Fe1和Fe2位点)、C-N偶联(Fe3、Fe1和Fe2位点)(图一)。
该催化体系活性位点结构明确、易于循环利用,展现出优异的催化活性和底物适用性,为非贵金属羰基合成多相催化材料的理性设计提供了新思路。

图一 . Fe2O3-Ovac催化剂中三个不同的Fe位点组合催化碘苯和胺的羰基化反应
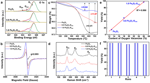
多种催化剂结构表征表明,随着不同量的NaBH4处理Fe2O3,能得到不同氧空位浓度的催化剂(图二,a-d),且研究人员发现催化剂表面氧空位的浓度和催化剂的活性呈线性关系(e),催化剂多次重复使用活性仍保持稳定(f)。

图二 . Fe2O3-Ovac催化剂中氧空位的表征(a-d),空位浓度和活性的关系(e)以及催化剂的重复使用(f)
进一步DFT计算表明,Fe1和Fe3位点容易活化碘苯,能垒只有0.54eV。研究人员对碘苯吸附结构和催化剂电子结构分析发现,氧空位存在时苯环平行吸附在催化剂表面,和催化剂有更强的相互作用。与不含氧空位的Fe2O3相比,Fe2O3-Ovac的d带中心更靠近费米能级,即更易活化碘苯的C-I键。在生成4-苯甲酰吗啉的三步基元反应中,CO插入反应能垒最高,为1.04eV,是碘苯胺羰化的决速步。

图三 . 碘苯和胺在Fe2O3-Ovac催化剂上的催化循环和反应能垒(a,b)和在Fe2O3-Ovac和Fe2O3催化剂表面碘苯吸附的差分电荷密度(c,d)以及Fe2O3-Ovac和Fe2O3催化剂表面Fe1和Fe3的d带中心研究(e)
上述研究工作以“Constructing multiple active sites in iron oxide catalysts for improving carbonylation reactions”为题发表在Nat. Commun.(DOI: doi.org/10.1038/s41467-023-40640-z)上,柳淑娟助理研究员和李腾助理研究员为共同第一作者,崔新江研究员为通讯作者。
以上工作得到了国家自然科学基金委、中国科学院、甘肃省自然科学基金和兰州化物所协同创新联盟合作基金等项目的支持。
